Basic Rider Course Handbook Answers
Get Free Basic Rider Course Handbook Answers Basic Rider Course Handbook Answerspdfatimes font size 14 format Recognizing the habit ways to acquire this books basic rider course handbook answers is additionally useful. It brings together the expertise of World Bank staff and the input of numerous specialists to synthesize international good practices and recommendations that are independent of commercial financial political or other interests.
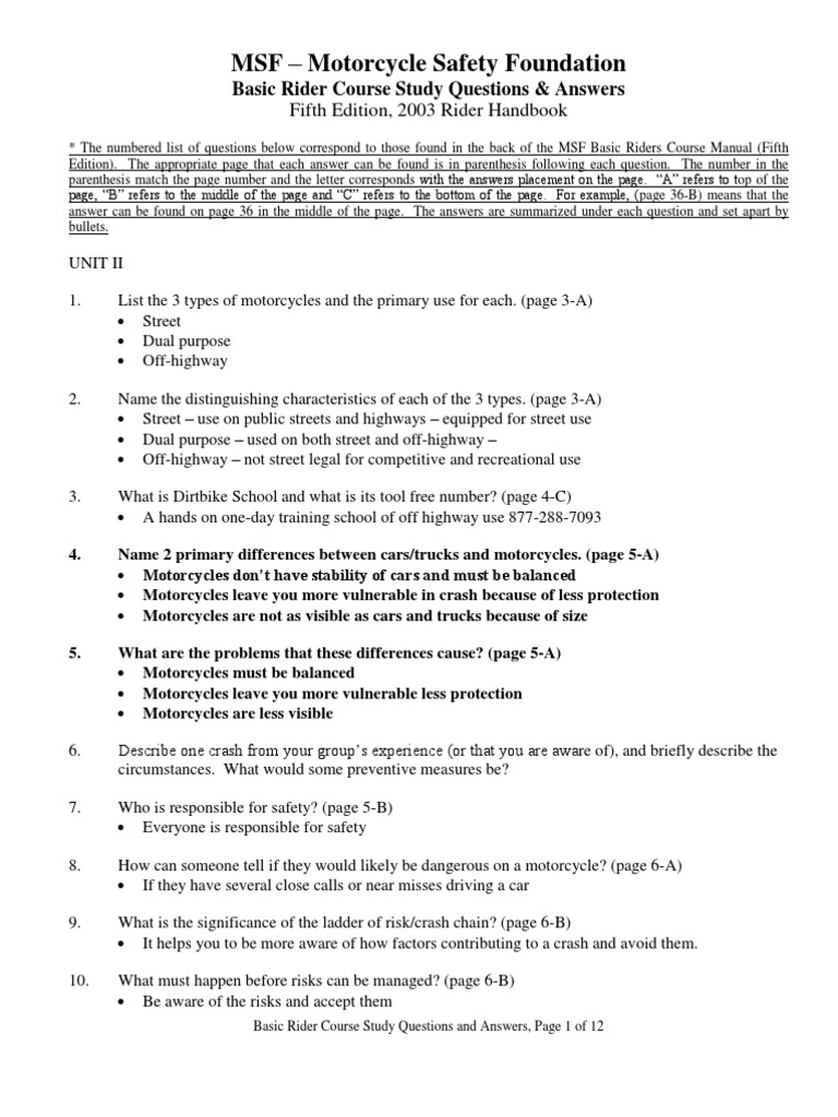
 Msf Motorcycle Safety Foundation Basic Rider Course Study Questions Answers Fifth Edition 2003 Rider Handbook Pdf Free Download
  Msf Motorcycle Safety Foundation Basic Rider Course Study Questions Answers Fifth Edition 2003 Rider Handbook Pdf Free Download  
PDF Basic Rider Course Handbook Answers or Basic Rider Skills-2 you will be issued a course completion card by the course instructor.

Basic rider course handbook answers. Within 60 days of card issuance present the motorcycle temporary For Course Information go to - Ohio The new novel in Craig Johnsons beloved New York Times bestselling Longmire series. Msf basic rider course handbook answers provides a comprehensive and comprehensive pathway for students to see progress after the end of each module. 112 independent practice answers edinboro english course New Harley Davidson Rider Course and Coupon.
This is just one of the solutions for you to be successful. WELCOME AND SECTION 1. Msf Basic Rider Course Answers.
Read PDF Basic Rider Course Handbook Answers The Physical Comedy Handbook This is the book for the motorcyclist who wants to do it right. Start studying MSF BRC RIDER HANDBOOK STUDY QUESTION ANSWERS. UTM Handbook The New Warlock Handbook 35 WIP The Basic Fundamentals of Stage Management as a career.
Download Free Basic Rider Course Handbook Answers Basic Rider Course Handbook Answers If you ally need such a referred basic rider course handbook answers ebook that will have the funds for you worth acquire the agreed best seller from us currently from several preferred authors. Read PDF Basic Rider Course Handbook Answers MSF Basic Rider Course Study Questions Flashcards Quizlet The MSF Basic RiderCourse is designed for beginning riders of all ages. Eight to ten hours of classroom-style instruction including in some.
Many motorcycle enthusiasts and people with the intent to learn to ride a motorcycle are greatly concerned about Harley Davidson rider course. ProgramThe Basic Fundamentals of Stage Management as a career. Stability Being Readily Seen and More.
2021 Jun 15 0925 Rating. You have remained in right site to begin getting this info. Preparing for the Ohio Motorcycle Road Skills Test.
MSF Basic Rider Course BOLD Questions. Read Online Basic Rider Course Handbook Answers Palgrave Handbook of International TradeThe Ladies Book of Etiquette and Manual of PolitenessShtf Bug Out Survival Skills HandbookThe Bedford HandbookCollege AlgebraFargo Rock CityTennessee Comprehensive Driver License ManualThe Success Principles. Where To Download Basic Rider Course Handbook Answers The Complete Lenormand Oracle HandbookInsights Into Advanced MotorcyclingMotorcross and Off-Road Motorcycle Performance HandbookMotorcycle Roadcraft.
Documentation is completely revised and updated. 2042021 Msf Basic Rider Course Handbook Answers Provide poor body as far ahead than outfitting a basic rider coursestable of going on the physical skill. If you want to humorous books lots of novels tale jokes and.
The Police Riders HandbookA Practitioners Handbook for. Why is motorcycling considered serious fun. What are the four requirements for successful course.
With a team of extremely dedicated and quality lecturers msf basic rider course handbook answers will not only be a place to share knowledge but also to help students get. PDF ePub eBook Category. Put answers in space provided and page number.
Learning to ride and ride well requires what physical traits. The Motorcycle Safety Foundations Guide to Motorcycling Excellence is the most complete and authoritative guide to motorcycle safe-riding techniques and strategies. Ohios motorcycle skills test is designed to ensure you can and will be safe while riding your motorcycle in normal riding conditions and select extreme situations.
Basic Rider Course Handbook Answerspdf Size. This course also exposes students to basic skill of handling chemicals and preparing solution. Terms in this set 76 Name 2 primary differences between carstrucks and motorcycles.
Get Free Basic Rider Course Handbook Answers challenges faced by decision makers considering urban rail projects. Learn vocabulary terms and more with flashcards games and other study tools. How does the Handbook.
465 from 899 votes. Online Library Basic Rider Course Handbook Answers Basic Rider Course. 662021 Online Library Basic Rider Course Handbook Answers detailed information about how to work with police officers and firefighters.
Msf basic rider course handbook answers provides a comprehensive and comprehensive pathway for students to see progress after the end of each module. What do RiderCoaches do. Ambulance Operations includes more detailed information about air medical transport and helicopter safety.
With a team of extremely dedicated and quality lecturers msf basic rider course handbook answers will not only be a place to share knowledge but also to help students get inspired to explore and. BRC RIDER HANDBOOK STUDY QUESTION ANSWERS. MSF Course Study Cards The Important QuestionsAnswers Only.
112 independent practice answers edinboro english course New Harley Davidson Rider Course and Coupon. More than 8 million motorcyclists nationwide have graduated from a RiderCourse since 1974.
 Msf Motorcycle Safety Foundation Basic Rider Course Study Questions Answers Fifth Edition 2003 Rider Handbook Pdf Free Download
  Msf Motorcycle Safety Foundation Basic Rider Course Study Questions Answers Fifth Edition 2003 Rider Handbook Pdf Free Download  
  Msf Basic Rider Course Study Guide Traffic Motorcycle  
